Yogesh, if you want to share your mathematics with people who are not mathematicians, like myself, it would be helpful if you supply meta-description which is semantic (words) description of your mathematical description (signs and symbols). Of course you do some of that, but my comments and questions about your posts are in fact requests for more than you currently supply. Below I present some modal logic including word descriptions to go with the signs and symbols.
I am struggling to grok the congruence of your mathematics and my metaphysics. It is my understanding that we do agree on several fundamental principles. 1) Immaterial category exists. 2) Consciousness exists. 3) Consciousness interacts causally with laws of physics and physical objects; freewill exists. 4) Eternal (Brahman, God, Aseity) cannot be explained with any mathematics. If I have misinterpreted that agreement, please clarify.
That we cannot explain eternal with mathematics does not mean we cannot say anything at all about eternal with mathematics, for example Gödel’s modal logic ontological proof that eternal necessarily exists (presented below).
You say “By design I've separated cosmogony (why anything exists) from cosmology (how the already-existing field evolves), and my equations address only the latter.” (brackets original) Therefore your cosmology lacks a cosmogony. It remains unclear to me if you believe mathematics cannot say anything about cosmogony, or simply that your current mathematics does not do so, but leave open that it could in the future?
Do you agree that addressing the cosmogony problem is important? If you agree that addressing the cosmogony question (what caused beginning of beginning), is important, that would be sufficient to justify a collaboration by arranging a marriage between your mathematics and my metaphysics.
At the very least, I would appreciate your continued responses to my queries. I would like to make reference to your mathematics in my manuscript. I am doing a final edit, for example normalizing my references so I can auto-generate a bibliography, plus other edits in the text. I am hoping you would agree to do a peer review. In any case I will seek your approval for how I mention your mathematics in the manuscript.
Specifically, what I am looking for is what in my metaphysics does each of your formulas, equations and wave functions describe mathematically?
This is my description of how your mathematics is congruent with my metaphysics. There are three parts.
Modal Logic: If something is possible it is necessary.
I believe my version of the ontological argument is necessary because it is rationally coherent, which means it is possibly necessary, and according to modal logic axiom S5 = ◻ –| ◊; possibly necessary is necessary. In modal logic ◻ = it is necessary that; ◊ = it is possible that; –| = is equivalent to. Clarence Irving Lewis et al.
Symbolic Logic, by Clarence Irving Lewis, Cooper Harold Langford, Century Company, 1932, https://en.wikipedia.org/wiki/Modal_logic
Possible to exist is a form of existence certainty; possible to exist certainly exists. Virtually all ontological proof statements, including Gödel’s, are statements of modal logic. In my cosmology it is an identity condition of the near-existence domain that it is host of all possible and potential to exist objects. All contents of the meta-information matrix are instances of conserved first information, including all superpositions, laws of physics, and meta-state conditions (like random, ultimately simultaneous and wholeness), and they are conserved in near-existence domain. [possible existence/0/actual existence] is a conserved superposition in near-existence domain.
All contents of the meta-information matrix are encoded by superconsciousness into the gestalt image of our whole physical universe, now, which is perpetually refreshed with zero time duration. There is no time intrinsic to now, but now entails time. I don’t know where now is in your mathematics.
Now is the blueprint for everything that could possibly exist or actually does exist. That is what it means in modal logic to say possible is necessary. The fundamental premise of modal logic is that if possible did not exist, actual could not exist. [possible/0/necessary], [potential/0/actual], [particle/0/wave] are conserved superpositions in near-existence domain, with pairs of logically contradictory state conditions existing in coherence as a holon unity of wholeness. A single whole superposition state condition contains two whole logically contradictory state conditions. Each superposition is resolved by decoherence to one or the other, say possible or necessary, in actual existence domain. Contents of near-existence domain can only be described with mathematical probability because they are not actually physical yet. All superpositions exist only as mathematical probabilities; they are not actually physical yet. All superpositions are resolved to one only of the complementary pair, in actual existence domain. For instance, exactly one electron in exactly one location or with exactly some momentum as it moves from one location to another, rather than one electron in every possible location at the same instant of real clock and calendar time. That is an important aspect of realism (Einstein, Gödel).
The term “ontological proof” (without the predicate “generic” attached) is the common term for proof of existence of eternal. Generic ontological proof is proof of actual existence objects and could be with reference to anything that actually does exist. Nothing is not something. Something does not come from nothing. These statements by Alfred North Whitehead do not deny there is a category possible (potential) existence, rather they describe the category boundary between actual something and nothing. Whitehead states clearly that nothing does not refer to anything that could possibly exist or actually does exist.
According to Alfred North Whitehead:
· “The ontological principle…constitutes the very meaning of actuality…” p. 43
· “…in separation from actual entities there is nothing, merely nonentity…” p. 17
· “…the ‘ontological principle’…could also be termed the ‘principle of efficient, and final, causation.’” p. 27
· “It is a contradiction in terms to assume that some explanatory fact can float into the actual world out of nonentity. Nonentity is nothingness. Every explanatory fact refers to…an actual thing.” p. 47
· “According to the ontological principle there is nothing which floats into the world from nowhere.” p. 248
Alfred North Whitehead, Process and Reality: An Essay in Cosmology (Gifford Lectures Delivered in the University of Edinburgh During the Session 1927-28), Corrected Edition, Edited by David Ray Griffin and Donald W. Sherburne, The Free Press (Macmillan), 1978, https://antilogicalism.com/wp-content/uploads/2018/04/process-and-reality.pdf
If anything is known to exist, in any possible form of physical existence, there must have been the first physical thing. There could not be a second thing and a third thing, etc., if there was no first thing. It is certain that something is known to exist; therefore, there must have been a first physical thing.
Whether our universe was the first physical thing or not, our universe is something, so even if our universe is not the first thing, the fact there is something we know of as our universe proves there must have been a first physical thing.
The first physical thing must have a beginning, or it could not exist. Therefore, the first physical thing is the beginning of physical existence, but not beginning of beginning.
Yogesh Bagle: by formulas, equations and wave functions demonstrates what is possible to exist.
“Groundbreaking Fundamental Formula for Consciousness: Bridging Physics and Metaphysics” by Yogesh Bagle, Medium, https://medium.com/@yogsbags/a-fundamental-formula-for-consciousness-bridging-physics-and-metaphysics-42f5a8043882
Possible existence includes immaterial consciousness and immaterial consciousness is instantiation of the immaterial category. Therefore, I soundly logically infer Bagle’s formulas, equations and wave functions which entail (permit) the immaterial category to exist means that by modal logic the immaterial category necessarily exists, which means the metaphysical assumption of physical closure (physical is necessary and sufficient to explain physical, physical creates itself out of nothing) is unambiguously false.
Yogesh Bagle:
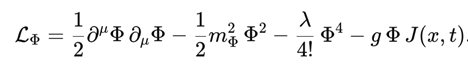
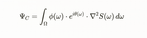
“I propose the following fundamental formula for consciousness:
Where:
Ψc represents the unified consciousness field
ϕ(ω) represents the probability amplitude of potential states
e^iθ(ω) represents the phase component (awareness/attention)
∇²S(ω) represents the information density gradient
Ω represents the complete set of possible states
ω represents individual potential states
Specifically, the Lagrangian can be described in more detail as:
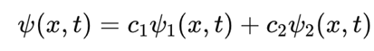
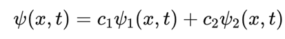
Modified Schrödinger Equation and Consciousness Field Equation:
… if the quantum state is written as a superposition:
Brain-Consciousness Interface Formula…how the brain interfaces with consciousness:
Necessity Eternal (Brahman, God, Aseity) Exists
Nothing does not exist because something necessary does.
The ontological proof that eternal necessarily exists has two expressions: 1) a set of natural a priori axioms, and 2) a set of modal logic axioms. Combined they are a coherent rational ground, a formal theology, for those who do not have religious or spiritual faith.
Aseity is the secular (not religious) name I use for God. Eternal Aseity exists without beginning by common definition of eternal, God, Brahman and Aseity.
“…God exists without the possibility of not existing (sometimes called necessary existence or existence a se)…” (brackets original), Charles Hartshorne, The Logic of Perfection, La Salle, Illinois: Open Court, 1962, quoted in “Process Theism” by Donald Viney, Stanford Encyclopedia of Philosophy (Summer 2020 Edition), Edward N. Zalta (ed.), Section 4.2, https://plato.stanford.edu/archives/sum2020/entries/process-theism
“Gödel's realist views were formulated mostly in the context of the foundations of mathematics and set theory. We referred above the list ‘What I believe,’ thought to have been written in 1960 or thereabouts. Out of 14 items, only two refer to realism, remarks 10 and 12:
Materialism is false.
Concepts have an objective existence.
Gödel published his views on realism for the first time in his 1944. The following is one of his most quoted passages on the subject:
Classes and concepts may, however, also be conceived as real objects, namely classes as ‘pluralities of things,’ or as structures consisting of a plurality of things and concepts as the properties and relations of things existing independently of our definitions and constructions. It seems to me that the assumption of such objects is quite as legitimate as the assumption of physical bodies and there is quite as much reason to believe in their existence. They are in the same sense necessary to obtain a satisfactory system of mathematics as physical bodies are necessary for a satisfactory theory of our sense perceptions and in both cases it is impossible to interpret the propositions one wants to assert about these entities as propositions about the ‘data,’ i.e., in the latter case the actually occurring sense perceptions.”
Kennedy, Juliette, "Kurt Gödel", The Stanford Encyclopedia of Philosophy (Winter 2018 Edition), Edward N. Zalta (ed.), https://plato.stanford.edu/archives/win2018/entries/goedel/
“Russell's mathematical logic”, The Philosophy of Bertrand Russell (Library of Living Philosophers), P. Schilpp (ed.), New York: Tudor, 1951, pp. 123–153. Reprinted in Gödel 1990, pp. 119–141.
1990, Collected Works. II: Publications 1938–1974. S. Feferman, J. Dawson, S. Kleene, G. Moore, R. Solovay, and J. van Heijenoort (eds.), Oxford: Oxford University Press.
Gödel's ontological proof is a formal argument using modal logic axioms to demonstrate the necessary existence of God. What I am hoping you will do with your mathematics is to add meta-explanation to your formulas, equations and wave-functions, like Gödel has done for his ontological proof.
Axiom 1: If a property is positive, and it necessarily implies another property, then the second property is also positive.
· P(φ)∧□∀x[φ(x)→ψ(x)]⇒P(ψ)
Axiom 2: A property is positive if and only if its negation is not positive.
· P(¬φ)⇔¬P(φ)P(\neg \varphi) \Leftrightarrow \neg P(\varphi)
Theorem 1: If a property is positive, then it is possible that something has that property.
· P(φ)⇒◊∃x[φ(x)]P(\varphi) \Rightarrow \Diamond \exists x [\varphi(x)]
Definition 1: God is defined as a being that possesses all positive properties.
· G(x)⇔∀φ[P(φ)→φ(x)]
Axiom 3: The property of being God-like is positive.
· P(G)P(G)
Theorem 2: It is possible that a God-like being exists.
· ◊∃xG(x)\Diamond \exists x G(x)
Definition 2: A property is the essence of an entity if it necessarily implies all of its other properties.
· φ ess x⇔φ(x)∧∀ψ[ψ(x)→□∀y[φ(y)→ψ(y)]]\varphi \text{ ess } x \Leftrightarrow \varphi(x) \land \forall \psi [\psi(x) \rightarrow \Box \forall y [\varphi(y) \rightarrow \psi(y)]]
Axiom 4: If a property is positive, then it is necessarily positive.
· P(φ)⇒□P(φ)P(\varphi) \Rightarrow \Box P(\varphi)
Theorem 3: If a being is God-like, then being God-like is its essence.
· G(x)⇒G ess xG(x) \Rightarrow G \text{ ess } x
Definition 3: Necessary existence is defined as having an essential property that necessarily exists.
· E(x)⇔∀φ[φ ess x⇒□∃yφ(y)]E(x) \Leftrightarrow \forall \varphi [\varphi \text{ ess } x \Rightarrow \Box \exists y \varphi(y)]
Axiom 5: Necessary existence is a positive property.
· P(E)P(E)
Theorem 4: A God-like being necessarily exists.
□∃xG(x)\Box \exists x G(x)
Kurt Gödel (Mar 1995), Solomon Feferman; John W. Dawson jr.; Warren Goldfarb; Charles parsons; Robert M. Solovay (eds.), Collected Works. Vol. III (1st ed.), Oxford University Press, ISBN 0-19-507255-3, Chapter "Ontological Proof", pp. 403–404, and Appendix B "Texts Relating to the Ontological Proof", pp. 429–437, https://monoskop.org/images/a/aa/Kurt_G%C3%B6del_Collected_Works_Volume_III_1995.pdf
It is coherent to infer that a set of natural a priori axioms satisfy Gödel’s statement in Nachlass:
“…a level of rigor is aspired to in philosophical arguments approaching that which is found in mathematical proofs. A formulation of the view…can be found in a document in the Gödel Nachlass. This is a fourteen item list Gödel drew up in about 1960, entitled ‘My Philosophical Viewpoint.’ …[one relevant item from the list]:
13. There is a scientific (exact) philosophy and theology, which deals with concepts of the highest abstractness; and this is also most highly fruitful for science.
[brackets added], (brackets original), (The list was transcribed by Cheryl Dawson and was published in Wang 1996, p. 316.)” Kennedy, Juliette, "Kurt Gödel", The Stanford Encyclopedia of Philosophy (Winter 2018 Edition), Edward N. Zalta (ed.), https://plato.stanford.edu/archives/win2018/entries/goedel/
The ontological proof is also resolution of the hard problem of consciousness. Both require that we answer two fundamental questions: 1) “What caused beginning of beginning?” 2) “What causes perpetual reconfiguration of everything everywhere all at once?” In order to coherently answer those two questions, we must acknowledge a set of natural a priori axioms, which are radically simple statements of justified knowledge carrying intrinsic truth value, without reference to any additional corroborating information, explanation or proof of truth. It is also possible to back that up with the modal logic axiom ontological proof, and to back that up with Yogesh Bagle’s mathematics.
“…that which does not exist only begins to exist by something already existing. Therefore, if at one time nothing was in existence, it would have been impossible for anything to have begun to exist; and thus even now nothing would be in existence — which is absurd. Therefore, not all beings are merely possible, but there must exist something the existence of which is necessary.” Thomas Aquinas, Summa Theologiae, Second and Revised Edition, 1920; online edition 2017, by Kevin Knight, http://www.newadvent.org/summa/1002.htm
The natural a priori axiom ontological proof is a set of natural a priori axioms which are justified knowledge certainty that provides the necessary, sufficient and radically simple answer to both questions.
· Something necessary exists.
· Something is not nothing.
· Nothing is not something.
· Nothing does not refer to anything that could possibly exist or actually does exist.
· Nothing cannot create something.
· Before origin, something does not exist, after origin something does exist.
· Consciousness exists with beginning.
· Physical exists with beginning.
· Something with a beginning cannot create itself out of nothing.
· Every object that exists with beginning must be caused to begin.
· No object that must be caused to begin can cause itself to begin.
· The universe is physical therefore exists with beginning and must be caused to begin.
· The whole physical universe cannot create itself out of nothing.
· Consciousness cannot create itself out of nothing.
· Something is necessary that exists without beginning to cause the beginning of beginning.
· Beginning of beginning is a priori to physical and physical is a posteriori to beginning of beginning.
· Eternal (God, Brahman, Aseity) is the only thing that exists without beginning.
Sound logical inferences derived from those fundamentally simple natural a priori axioms are necessarily as true as the natural a priori axioms because those axioms are true by common tautological definition, therefore these inferences are also justified knowledge.
· Monism means there is only one eternal.
· Monism entails dualism, it does not deny dualism.
· Minimum of two dualistic categories are necessary: 1) immaterial category and 2) physical category.
· Three categories of intentional immaterial causality are necessary: genesis-emanate, genesis-create, and create-manifest.
· Eternal has power of genesis-emanate intentional immaterial causality.
· Eternal genesis-emanates the beginning of beginning, the first-first, the one hypostasis superconsciousness, the first object to exist with beginning.
· Superconsciousness genesis-creates everything else that exists with beginning including beginning of physical, the first physical thing in the first universe.
· Superconsciousness genesis-creates the meta-information first information matrix. All information in the meta-information matrix is conserved, including a set of laws of physics, all superpositions and all generic state conditions, for example chaos, random ultimately simultaneous, wholeness, causality, uncertainty, etc.
· Superconsciousness genesis-creates now, perpetually encodes the meta-information matrix into now, a single gestalt image of the whole physical universe (like the single image of everything on a computer hard drive).
· Superconsciousness genesis-creates ego consciousness, witness consciousness, and enself collective ego consciousness.
· Enself collective ego consciousness perpetually decodes now by looking at it and bestowing meaning upon it, which is intentional immaterial create-manifest causality which is freewill.
· The full path from eternal to physical is: eternal (genesis-emanate) → superconsciousness (genesis-create) → meta-information matrix → now → witness consciousness, ego consciousness, enself collective ego consciousness (create-manifest) → physical.
· Eternal causes, through substantial active agent superconsciousness, the perpetual (until eternal stops live-streaming superconsciousness) reconfiguration of everything everywhere all at once (now) and enself collective ego consciousness bestows meaning upon now, which actions combined sustain the whole physical universe to continue to exist.
· Ego conscious freewill entails that ego consciousness commands the set of inviolable, automatic and knowable laws of physics, therefore ego consciousness drives the physical bus, ego consciousness commands physical, ego consciousness is the boss of physical.
· Mind is an immaterial ego consciousness docked to a physical body/brain/central nervous system. Mind is therefore a bridge between immaterial and physical categories, because mind is simultaneously physical and immaterial.
· Ontology is certainty.
· Existence is certainty.
· Experience is certainty.
· Epistemology is uncertainty.
· Abstraction is uncertainty.
· Cognitive knowledge about existence and experience is uncertainty.
· Conserved possible-necessary a priori perpetually entails actual-necessary a posteriori.
· The great power of natural a priori axioms is that the message is stripped down to information so fundamentally simple and intuitively obvious that no additional explanation or proof is either helpful or necessary. That makes natural a priori axioms justified knowledge. All the noise of uncertainty is stripped out of natural a priori axioms.
· The hard problem of consciousness is fundamentally an epistemological problem. We lack the knowledge of consciousness to correctly explain the truth about the relations between immaterial ego consciousness and the physical body/brain/central nervous system live organism, and between laws of physics and physical objects. My metaphysics resolves the hard problem of consciousness.